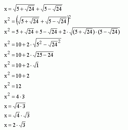
Rozwiązanie a:
Rozmiar: 4364 bajtów
Powrót