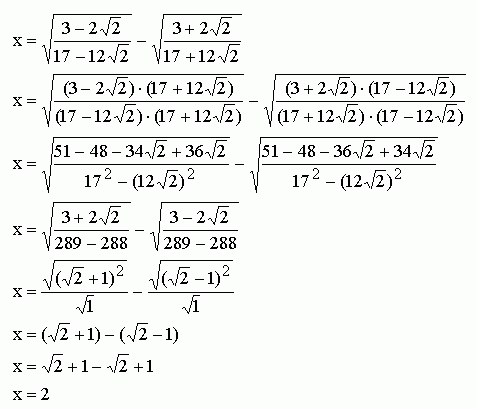
Rozwiązanie b:
Rozmiar: 6137 bajtów
Powrót