LIGA ZADANIOWA UMK W TORUNIU 2001/2002
ZADANIA KONKKURSOWE Z ETAPU I
DLA KLAS II GIMNAZJUM
Zadanie 4
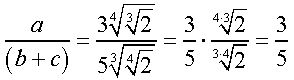
Obliczyć:

Rozwiązanie:
Ułamek dzielę na trzy części:
a, b, c.

Obliczam pokolei:



Obliczam sumę części z mianownika:

Obliczam wynik końcowy:

Wynik wynosi 3/5.
Marta Stolarska