LIGA ZADANIOWA UMK W TORUNIU 2006/2007
ZADANIA PRZYGOTOWAWCZE DO ETAPU II
DLA KLAS II GIMNAZJUM

Zadanie 1

Długość boku kwadratu ABCD jest równa 6 cm. Oblicz pole i długość obwodu części wspólnej kół ośrodkach w punktach B i D i o promieniu 6 cm.

Rozwiązanie:

Dane:

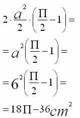
a = 6 cm (długość boku kwadratu ABCD)
r = 6 cm (promień koła)

Pole trójkąta DBC jest równe:


Aby wyliczyć połowę części wspólnej tych kół należy od pola wycinka koła odjąć pole trójkąta DBC



Aby obliczyć pole całego wycinka należy połowę odcinka pomnożyć przez 2



Obwód figury skada się z dwóch ćwiartek obwodu koła o promieniu a, a więc stanowi polowę obwodu koła::

Odpowiedź:

Pole wycinka wynosi: , a obwód tego wycinka jest równy: .

Magda Balicka