LIGA ZADANIOWA UMK W TORUNIU 2007/2008
ZADANIA PRZYGOTOWAWCZE DO ETAPU II
DLA KLAS II GIMNAZJUM

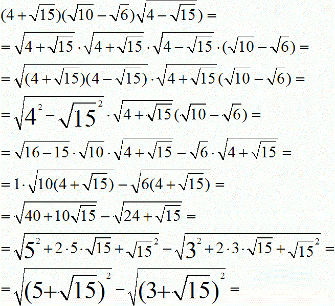
Zadanie 22

Oblicz: Oblicz:

Rozwiązanie





Janusz Schmude