ZADANIA KONKURSOWE Z ETAPU II
DLA KLAS II GIMNAZJUM
Zadanie 1
Oblicz pole i obwód zacieniowanych półksiężyców na rysunku obok wiedząc, że długość boku kwadratu wynosi 8 cm, zaś zewnętrzne łuki są półokręgami zbudowanymi na bokach kwadratu, a wewnętrzny łuk jest okręgiem opisanym na kwadracie.
Rozwiązanie
a - długośc boku kwadratu, równa się 
R - promień dużego koła, równa się połowie przekątnej kwadratu, tj.
r - promień półkoła, jest połową boku kwadratu: 
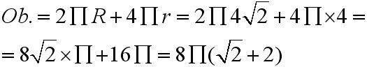
Obwód
Zauważmy, że obwód zacieniowanej figury to suma obwodów 4 półkoli i dużego koła. Wzór na obwód koła to
, a półkoła to
, więc:
Pole
Zauważmy, że pole zacieniowanej figury to różnica sumy pola kwadratu z polem półkoli i pola koła. Wzór na pole koła to
,
półkoła to
, a na pole kwadratu
, więc:
Odpowiedź:
Obwód półksiężyców wynosi
, a pole
.
Opracował Filip Solarczyk