LIGA ZADANIOWA UMK W TORUNIU 2008/2009
ZADANIA PRZYGOTOWAWCZE DO ETAPU II
DLA KLAS II GIMNAZJUM

Zadanie 5

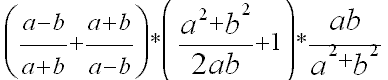
Wyrażenie doprowadż do najprostrzej postaci, a następnie oblicz wartość tego wyrażenia dla

Rozwiązanie:








Krzysztof Drost