LIGA ZADANIOWA UMK W TORUNIU 2008/2009
ZADANIA PRZYGOTOWAWCZE DO ETAPU II
DLA KLAS II GIMNAZJUM
Zadanie 14 B
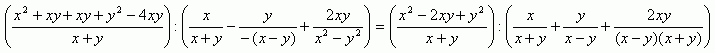
Dane wyrazenie algebraiczne:

Doprowadz do najprostrzej postaci, a nastepnie oblicz jego wartosc
dla x="0,6" i y="-0,4
Wszystkie ulamki w pierwszym nawiasie sprowadzamy do wspólnego mianownika
(drugi nawias narazie zostawiamy w spokoju):
Teraz caly nawias sumujemy
(Drugiego nawiasu jeszcze nie ruszamy):

Nastepnie "skladamy" licznik we wzor skroconego mnozenia.
Teraz ruszamy drugi nawias, sprowadzajac zawartosc do wspolnego mianownika:
Tutaj juz wystarczy tylko podstawić:
I gotowe!Maksymilian Turski